不同的光源由于光谱能量分布的不同,其光线的颜色就会存在差异,因此同一物体在不同的光源下就会有不同的颜色。CIE为了统一颜色测量的光源环境,就规定了用于颜色测量的标准光源。那么,标准光源有哪些性能指标?它们之间有什么关系?下文为大家作了介绍,感兴趣的朋友可以了解一下!

标准光源的性能指标介绍:
评价标准光源的性能指标有很多,除了主要指标色温和显色性以外,主要还有以下几个指标:
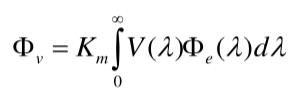
1.光通量
光通量是计量光源在单位时间发出来能被眼睛感知到的光量,单位为lm(流明)。表达式为:

其中,Φv为光通量,V(λ)为视觉函数,Φe(λ)为辐射通量,Km为光谱光视效能的最大值。
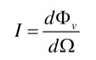
2.发光强度
光源在给定方向上的单位立体角的光通量,定义为这个方向上的发光强度(cd,坎德拉)。其表达式为:

3.光照度
光源在单位面积上的光通量,单位为勒克斯(lux)。其表达式为:

4.光亮度
光源在某一方向上的单位投影面积单位立体角发射的光通量为这一方向的光亮度。单位为坎德拉每平方米(cd·m2)。亮度表达式为:

光通量和光强度的关系:
光度学中最基本的单位是发光强度,单位为坎德拉(cd),它是国际单位制中7个基本单位之一。其定义为555nm的单色辐射在给定方向上的辐射强度为1/683W·sr时,在该方向上的发光强度为1cd。
光通量的单位为流明(lm),它是发光强度为1cd的均匀点光源在单位立体角(1sr)内发出的光通量。
如果光源为点光源,并且是均匀发光体,那么光强(I)与光通量(Φ)符合距离反比平方定律。距离平方反比定律来自于点光源向空间发射球面波的特性,即点光源在传播方向某点的辐照度与该点到点光源的距离平方成反比。
在任一锥立体角内,假设在传输路径上没有光能损失或分束,那么点光源向空间发出的辐射通量是不变的。然而位于球心的均匀点光源所张开的立体角所截的表面积却和球半径的平方成正比,这样在球面上的辐照度就和点光源到该面的距离平方成反比,即:Φ=4πI。
光照度和光亮度的关系:
通俗地说,亮度是物体表面明亮的程度。对于发光体,亮度表明了它表面发光的本领,主要与它的发光特性有关;对于本身不发光的物体,它的亮度不仅与照亮它的光源的特性有关,还与物体自身的表面特性有关。例如在同样的光线下,反射率小的黑丝绒亮度低,反射率高的白纸亮度高。照度表明物体表面被光源照明的程度,即单位时间内投射到物体单位表面上光能量的多少。因此亮度与照度的第一个重要区别是:亮度与物体自身的表面特性有关。照度仅由光源的特性(强弱、远近、投射角)确定,与被照明物体的表面特性无关。
亮度与照度的第二个区别是方向性。亮度是有方向的量,谈论某点的亮度还必须同时指明测试或观察的方向。例如点亮的手电筒从正面看比斜看亮得多,劣质的黑板在教室的某些位置会产生强烈的反光。照度是无方向的量,物体上某处的照度是周围环境投射到该处所有光线之和,无论光线从何方射来,只要投射到物体上的光能量相同,对照度的影响都相同。
光强度和光照度的关系:
发光强度和照度之间存在一定的关系,发光强度是指光源发出的光强,而照度则是指光源发出的光在某一方向上的光强。发光强度是指光强度的大小,而照度则是指光强度的分布。发光强度越大,照度也越大,反之亦然。因此,发光强度和照度之间的关系是相互影响的,一个影响另一个。
此外,发光强度和照度也受到发光物体的形状和大小的影响。发光物体的形状越复杂,发光强度和照度的差异越大;发光物体的大小越大,发光强度和照度也越大。
发光强度和照度之间存在一定的关系,发光强度越大,照度也越大,发光物体的形状和大小也会影响发光强度和照度。
扫一扫添加微信