光源的显色指数什么意思?光源的显色性,是指光源照射到物体上所产生的客观效果,也就是光源能否正确地呈现物体颜色的性能,而显色指数可用来对光源的显色性进行定量的描述,常用Ra表示。那么,怎么计算光源的显色指数?常用光源的显色指数是多少?本文为大家作了介绍。

光源的显色指数什么意思?
光源显现被照物体颜色的性能称为显色性,也就是颜色逼真的程度,显色性好的光源对颜色的再现较好,所看到的颜色也就较接近自然原色,显色性差的光源对颜色的再现较差,所看到的颜色偏差较大。光源的显色性是由光源的光谱功率分布所决定的,光谱连续的光源显色性好,物体在该光源下,所呈现的颜色就较逼真。CIE制定了一种评价光源显色性的方法,用显色指数表示光源的显色性,即光源的显色指数用被测光源下物体的颜色与参照光源下物体的颜色相符程度来衡量。
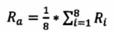
显色指数分为一般显色指数(Ra)和特殊显色指数(Ri)两种。一般显色指数(Ra)是针对CIE规定的有代表性的8种色样,在被测光源与参照光源下逐一对比,得出的这8种色样的特殊显色指数Ri的算术平均值。一般人工光源用Ra作为评价显色性的指标。光源的显色指数愈高,其显色性就愈好。显色性与参照光源完全相同的,其显色指数为100。一般认为Ra=100~80显色性优良,Ra=79~50显色性一般,Ra<50显色性较差。但是一般显色指数Ra高的光源可能对于某个特定的颜色,其特殊显色指数Ri是较低的,在选用光源时应注意。
光源显色指数计算方法:
计算显色指数的标准方法,是CIE制定的“测色法”。评价时采用一套14种试验颜色样品,根据在参照光源下和待测光源下各试验色的色差△E,计算出光源特殊显色指数Ri:

一般显色指数Ra的计算公式:

光源的一般显色指数越高,其显色性就越好,对颜色的还原性越好。
通常是在已知待测光源的光谱能量分布P(λ)的情况下,进行显色指数计算的,其主要步骤如下:
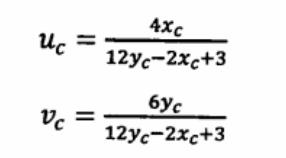
1.根据待测光源的光功率谱分布,计算待测光源的色度坐标(xc,yc)、(uc,vc)相关色温T;其中:

2.由待测光源的光功率谱分布和1-14试验色的光谱辐亮度因数,计算待测光源下1-14号试验色的色度坐标(xci,yci)并求相应(uci,vci)。
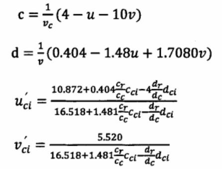
3.根据T选择参照照明体,查表得出参照照明体的色度参数(ur,vr,cr,dr),以及在参照照明体下试验色的颜色空间坐标U*ri、V*ri、W*ri。
4.由待测光源色坐标(uc,vc),求(cc,dc)以及待测光源下试验色的色坐标(uci,vci)求(cci,dci),并计算试验色的适应色位移(u'ci,v'ci),其中有:

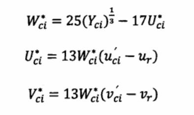
5.计算待测光源下试验色的U*ci、V*ci、W*ci。

6.求U*ri、V*ri、W*ri与U*ci、V*ci、W*ci的色差△Ei。

7.由△Ei得特殊显色指数Ri和一般显色指数Ra。
标准光源的显色指数是多少?
1.D75光源:过滤钨灯,显色指数95+
2.D65光源:过滤钨灯,显色指数95+
3.D50光源:过滤钨灯,显色指数95+
4.CWF光源:灯的类型:美国商业荧光,显色指数62
5.U30光源:美国商业荧光,显色指数85
6.TL83光源:欧洲商业荧光,显色指数85
7.TL84光源:欧洲商业荧光,显色指数85
8.Inca A光源:卤钨灯(白炽灯),显色指数95+
9.Horizon光源:卤钨灯(白炽灯),显色指数95+
扫一扫添加微信