什么是色温?色温是描述光源光谱质量最常用的指标,低色温光源的能量分布中红辐射较多,通常称为暖色光:高色温光源的能量分布中蓝辐射相对较多,通常称为冷色光。当知道待测光源的光谱分布后,就可以对光源的色温和相关色温进行计算。本文对光源色温和相关色温计算方法做了介绍。

什么是色温?
色温是描述光源光谱质量最常用的指标。当某辐射体与绝对黑体在可见光区域具有相同形状的光谱功率分布时的温度,称为该辐射体的色温。当光源的色度坐标位于色度图上的黑体迹线上时,就把黑体的绝对温度定义为该光源的色温,不同温度下,绝对黑体的色度坐标是不同的,但是非热辐射光源,它们的光谱功率分布形式与黑体辐射相差很大,其色度坐标不一定落在黑体辐射迹线上,这时常用相关色温来表示,即在色度图上,和某一光源的色度坐标点相距最近的那个黑体的绝对温度就定义为该光源的相关色温。
光源色温和相关色温计算方法:
色温或相关色温的定义是某光源的色度坐标与绝对黑体辐射在某一温度下的色度一样,则这一温度称为某光源的色温。一般情况下,光源的色坐标在色度图上不一定准确地落在绝对黑体轨迹上,所以只能用光源与黑体轨迹最近的颜色来确定该光源的色温,称为相关色温。光源色温的经验公式为:

其中A=(x-0.329)/(y-0.187)。
色温在照明领域是一个非常重要的概念,也是评价光源色度特性的一个重要参数。色温的概念来自于黑体辐射,只有接近于黑体辐射的发光体讨论色温才有意义,对应一个具体的光源来说,它的色坐标位置只有接近色品图中的Planck轨迹,这时讨论色温才有意义,色品图中的Planck轨迹是不同色温的黑体辐射发光体所对应的色坐标在色品图上形成的一条曲线,人们把这条曲线称之为Planck轨迹,见下图所示。

在某一特定温度T下,黑体的光谱功率分布可由普朗克公式获得,即:

其中第一辐射c1=2πhc2=3.7418x10-16W·m2;
第二辐射常数c2=hc/k=1.4388×10-2m·K;k为波尔兹曼常数;c为光速。
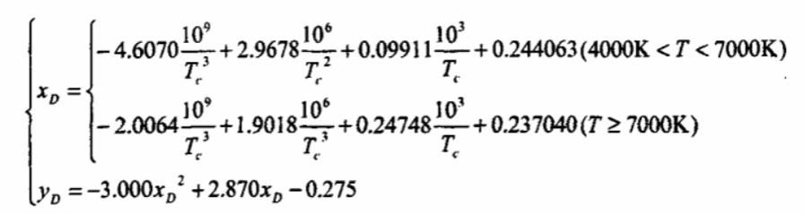
根据已知黑体的光谱功率分布公式,我们可以求得色坐标与色温的关系表达式,当色温大于5000K时,CIE推荐用日光轨迹代替黑体轨迹,而日光轨迹的色品坐标为:

式中,xD的有效范围为0.250~0.380。
标准照明体和标准光源是为使光辐射测量标准化而引入的概念。CIE规定的标准光源有A,B,C,D65,E光源。有了色温和相关色温的概念,表示光源的特性将非常方便。如:
(1)A光源:色温为2845K,相当于白炽灯在2800K时辐射出的光。
(2)B光源:相关色温为4800K,相当于中午直射的日光。
(3)C光源:相关色温为6700K,相当于白天的自然光,它的蓝色成分较多。
(4)D65光源:相关色温为6500K,相当于白天平均光照,近年来,常被用作彩色电视的标准光源。
(5)E光源:又称为等能白光,即光谱功率分布值为常数,它是一种假想而实际并不存在的光源,采用它纯粹是为了简化色度学中的计算。
光源根据色温的高低分为暖色光(色温<3300K)、冷白色光又叫中性色(色温3300K~5300K)、冷色光(色温>3300K),常见光源的色温或相关色温如下表所示。

扫一扫添加微信